Contest: RU contest | SM3CER Contest Service | Contesting.com | WA7BNM Contest Calendar



WYNIKI ZAWODÓW Z ROKU 2018

ARRL CW | ARRL SSB | ARRL RTTY | WAE CW, SSB, RTTY | CQ WW 160m

All Asian | CQ WPX CW | CQ WPX SSB | CQ WW RTTY | ARRL 10M

CQ WW SSB | CQ WW CW | Russian DX | Oceania DX | IARU HF | WPX RTTY

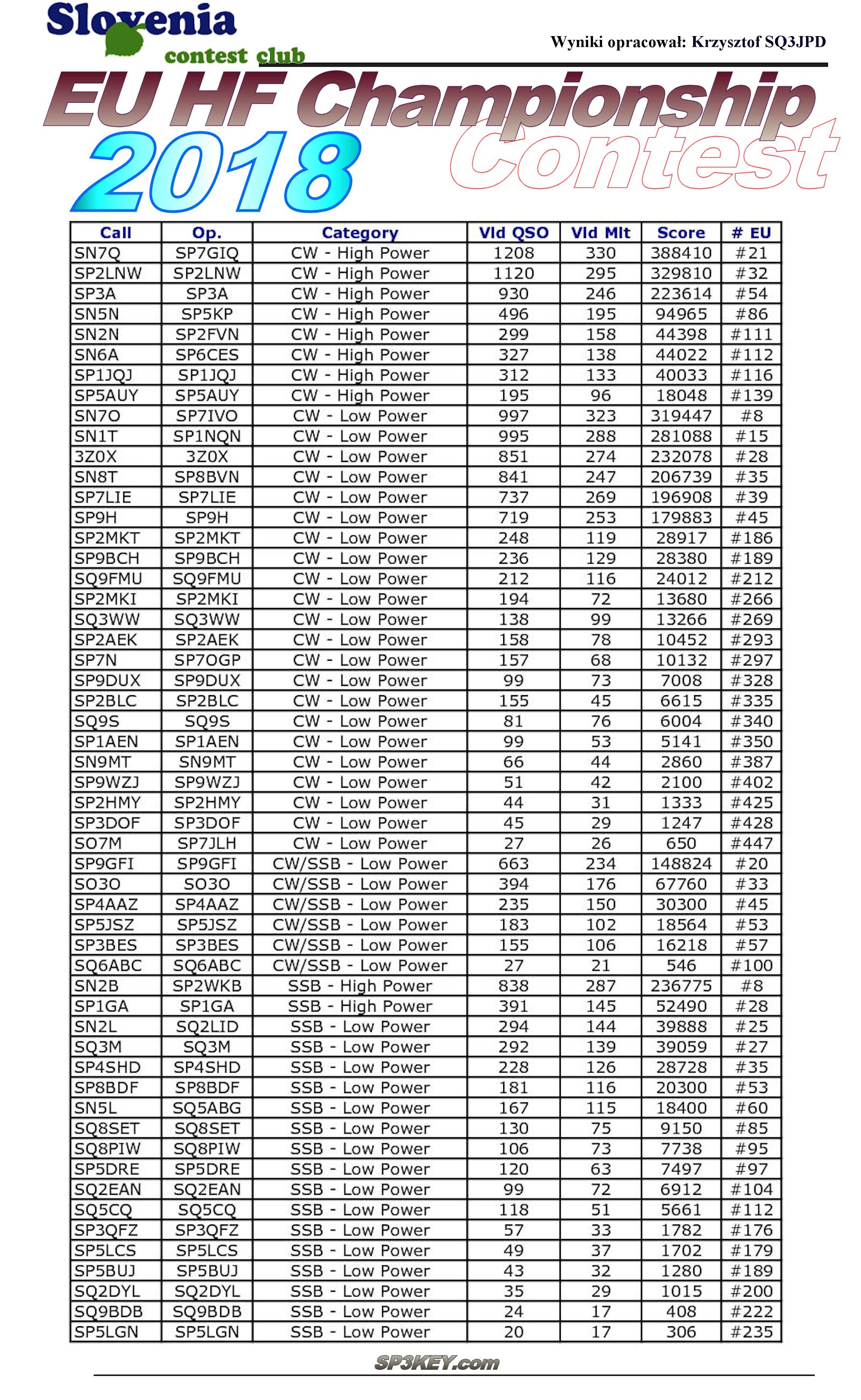
Russian DIGI | EU HF


KLIKNIJ ABY POWIĘKSZYĆ

Aktualizacja: 15.08.2021 r. 13:34

e-mail: Krzysiek SQ3JPD

Powrót








POLECAMY
SP EmCom ٱczno¶ć Kryzysowa PZK
Amatorska Radiokomunikacja Satelitarna
Zawody Zielonogórskie
Nowe emisje cyfrowe
Lokalizacje radiostacji lubuskich
Lubuskie przemienniki