WYNIKI ZAWODÓW Z ROKU 2017
CQ WW 160m | ARRL CW | ARRL RTTY | CQ WPX SSB | CQ WPX CW | WAE CWRussian DX | All Asian | WAE SSB | WAE RTTY | IARU | EU HF | CQ WW CW
CQ WW SSB | Oceania DX | ARRL SSB | ARRL 10M | CQ WW RTTY | WPX RTTY
Russian DIGI

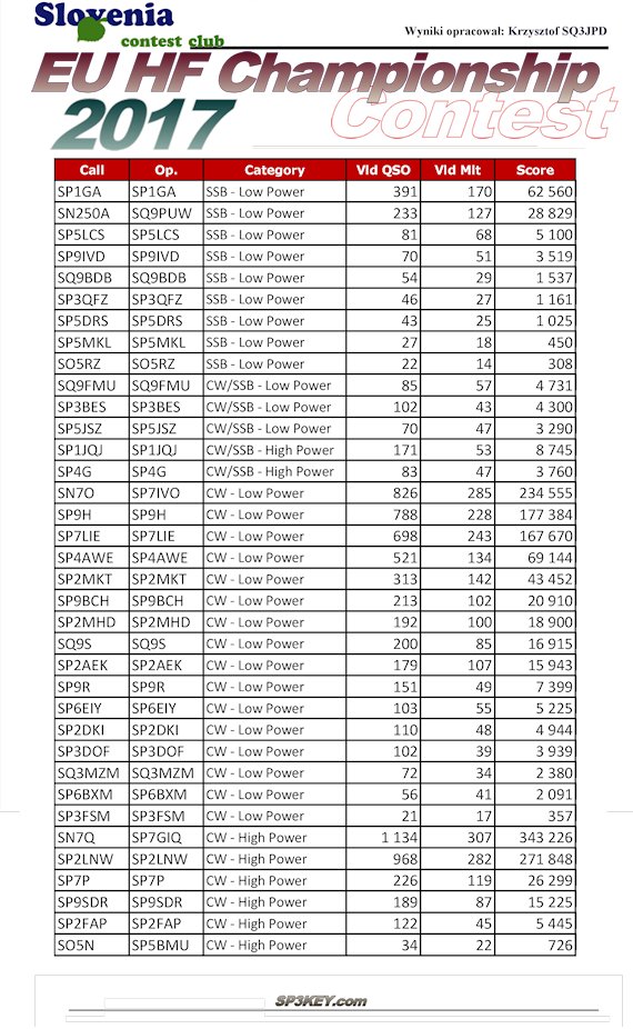
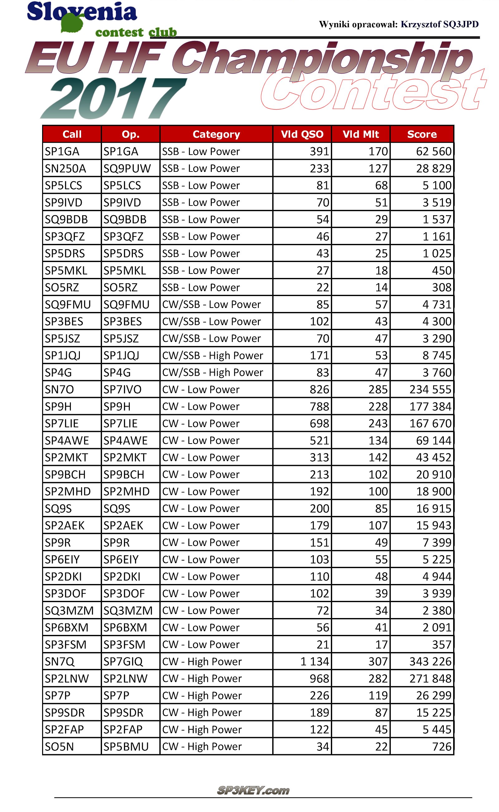
KLIKNIJ ABY POWIEKSZYĆ
Aktualizacja: 19.05.2018r. 15:13
e-mail: Krzysiek SQ3JPD

Powrót


SP EmCom ٱczno¶ć Kryzysowa PZK






